드디어 고곡
2024 공무원 봉급표 알아보자! 본문
공무원 봉급표는 공무원으로서의 경력과 보수 체계를 이해하는 데 중요한 자료입니다. 공무원으로의 진로를 고려하고 계신 분들께 도움이 될 수 있도록, 봉급표를 비롯해 다양한 정보를 상세히 설명드리겠습니다.
이 글을 통해 공무원 봉급 체계의 전반적인 구조와 이해를 높이고, 실질적인 경력 관리에 도움이 되길 바랍니다.



공무원 봉급 체계의 이해
공무원의 봉급 체계는 기본급, 수당, 성과급 등 여러 요소로 구성되어 있습니다. 기본급은 공무원의 직위와 직급에 따라 차등 지급되며, 각 지방자치단체나 정부 부처마다 운영 방식에 약간의 차이가 있을 수 있습니다. 수당은 근무 환경, 경력에 따라 달라지며, 업무의 성격에 따라 추가 지급되기도 합니다.
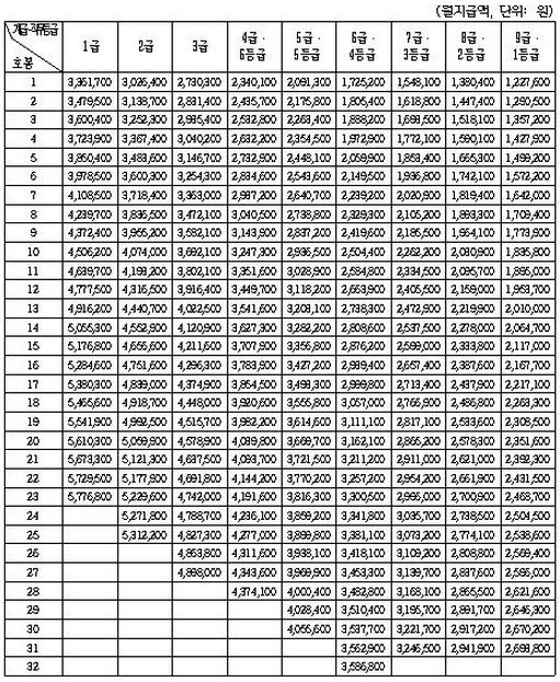
첫 번째로, 기본급은 공무원의 급여 구조에서 가장 중요한 요소입니다. 대개 공무원은 1급에서 9급까지 나누어지며, 각 급에 따라 기본급이 정해져 있습니다. 이러한 구조는 일정한 기준을 가지고 있어, 예를 들어 7급 공무원은 7급에 맞는 기본급을 수령하게 됩니다.
관련 내용 더 확인해보자!
공무원 직급에 따른 봉급 차이
공무원의 직급이 올라갈수록 기본급도 상승하게 되어 있습니다. 1급 공무원은 국가의 최고 관리직에 해당하며, 그에 맞는 높은 기본급을 지급받습니다. 반면, 9급 공무원은 신입 공무원 대부분이 해당되며, 상대적으로 낮은 기본급을 받습니다.
직급별 봉급 차이는 상당하며, 예를 들어 9급의 경우 기본급이 매년 인상되지만 상대적으로 적은 금액입니다. 반면 1급 공무원은 기본급 외에도 다양한 수당, 성과급이 함께 지급되어 상당한 소득을 올릴 수 있습니다.






수당의 종류와 지급 기준
다양한 수당이 존재하는 만큼, 각 수당의 지급 기준과 내용에 대해 이해하는 것이 중요합니다. 일반적으로 공무원에게 지급되는 수당으로는 직무수당, 지역수당, 가족수당 등이 있습니다. 이들 수당은 근무 환경이나 개인의 상황에 따라 차등 지급됩니다.
직무수당은 특정 직무에 종사하는 공무원에게 지급되며, 지역수당은 특정 지역에서 근무하는 경우에 추가로 지급됩니다. 가족수당은 공무원 본인이 아닌 가족의 수에 따라 지급되므로, 가족이 많을수록 수당이 증가하는 구조입니다.
성과급 제도
최근에는 공무원 성과급 제도가 도입되어 공무원의 근무 성과에 따라 보상이 이루어집니다. 이 제도는 공무원들이 업무에 더 집중하고, 성과를 올리도록 유도하는 목적을 가지고 있습니다.
공무원의 성과를 평가하는 방법은 다양하지만, 일반적으로는 상급자의 평가와 동료 평가를 통해 이루어집니다. 성과급의 규모는 공무원의 직급과 성과 평가 결과에 따라 다르다 보니, 이 제도가 공무원 개인의 노력에 영향을 미친다고 할 수 있습니다.
연금 및 퇴직금
공무원으로 근무하는 동안 얻는 연금과 퇴직금도 중요한 소득의 일부입니다. 공무원은 일정 기간 이상 근무 후 퇴직하면 연금을 받게 되며, 이는 공무원으로서의 안정적인 삶을 보장하는 요소입니다.
연금은 근무 기간이 길어질수록 인상되며, 퇴직 시점의 직급에 따라서도 차등 지급됩니다. 따라서 공무원으로서의 진로를 계획하시는 분들은 이 점도 고려해야 할 사항입니다.






공무원 봉급 인상 및 급여 변동
매년 공무원 봉급은 정부의 예산 편성 과정에 따라 인상될 수 있습니다. 이는 물가 상승률, 경제 성장률 등을 고려한 것으로, 공무원들의 기본급이 지속적으로 오르게 됩니다.
하지만 이러한 인상은 모든 공무원에게 동일하게 적용되지는 않습니다. 특정 급여가 더 큰 비율로 인상되거나, 정책에 따라 특정 분야의 공무원들만 혜택을 받을 수도 있습니다.
경력 관리의 중요성
공무원으로서 경력을 관리하는 것은 매우 중요합니다. 경력이 길어질수록 봉급이 인상되는 구조이기 때문입니다. 이를 위해서는 다양한 업무 경험을 쌓아야 하며, 필요 시에는 추가적인 교육이나 자격증 취득도 고려해야 합니다.
경력이 쌓이면 자연스럽게 높은 직급으로 승진하게 되고, 이는 봉급 인상으로 이어지기 때문에 경력 관리의 관점에서 매우 중요한 요소입니다.
공무원 시험 준비 방법
공무원 시험을 준비하시는 분들께는 체계적인 공부 계획을 추천합니다. 수험 과목은 다양하며, 각 과목에 대한 집중적인 학습이 필요합니다.
시험 과목으로는 국어, 영어, 한국사, 행정학, 법학 등 다양한 과목이 있으니 자신의 강점과 약점을 잘 파악하여 준비하는 것이 중요합니다.
직장 내 관계 구축
공무원으로서의 경력을 쌓는 것뿐만 아니라 동료와의 관계도 중요합니다. 좋은 관계를 유지함으로써 업무를 보다 원활하게 진행할 수 있을 뿐 아니라, 자신의 경력을 관리하는 데에도 도움이 될 수 있습니다.
일정한 직장에서 오랜 시간 근무하면서 쌓이는 관계는 인사에 긍정적인 영향을 미칠 수 있으니, 항상 좋은 관계를 유지하려고 노력해야 합니다.
지속적인 자기 개발
공무원으로 재직하며 지속적인 자기 개발에 힘쓰는 것이 중요합니다. 세상이 발전함에 따라 공무원으로서 필요한 능력과 지식도 변하게 됩니다.
새로운 법안이나 정책 변화에 발맞추어 자기 개발을 하시는 것이 필요하며, 이를 통해 공무원으로서의 가치를 높이고 안정적인 직무 수행이 가능해집니다.






공무원 진로 변화의 기회
공무원으로서의 경력 외에도 다양한 진로 변경 기회가 존재합니다. 공무원 역시 외부 기관이나 연구소로의 전직 기회가 있을 수 있으며, 이는 개인의 커리어 발전에 크게 기여할 수 있습니다.
진로 변화의 기회를 고려하신다면, 다양한 분야에 관심을 가지고 준비하는 것이 좋습니다. 이를 통해 보다 넓은 시각으로 경력을 개발하는 데에 도움이 될 것입니다.
마무리하며
공무원 봉급표 및 경력 관리는 그 자체로 중요한 요소입니다. 공무원으로의 진로를 고민하는 많은 분들께 이 글이 도움이 되길 바라며, 봉급체계 외에도 다양한 정보를 통해 공무원으로서의 미래를 확고히 하시길 바랍니다.
공무원으로서 성공적인 경력을 쌓는 데 있어, 기초 자료인 봉급표의 이해는 필수적이며, 이를 통해 보다 나은 결정을 내리는 데 도움이 될 것입니다.